通过


教程第 2 部分:使用 Microsoft Fabric 笔记本浏览和可视化数据

本教程介绍如何进行探索数据分析(EDA),以检查和调查数据,同时通过数据可视化技术汇总其关键特征。

你将使用 seaborn,一个 Python 数据可视化库,该库提供一个高级接口,用于在数据帧和数组上生成视觉对象。 有关 seaborn的详细信息,请参阅 Seaborn:统计数据可视化

你还将使用 Data Wrangler,这是一种基于笔记本的工具,提供沉浸体验来进行探索性数据分析和清理。

本教程的主要步骤包括:

  1. 读取湖屋中的 Delta 表中存储的数据。
  2. 将 Spark 数据帧转换为 Pandas 数据帧,Python 可视化库支持该帧。
  3. 使用 Data Wrangler 执行初始数据清理和转换。
  4. 使用 seaborn执行探索数据分析。

先决条件

这是教程系列的第 2 部分(共 5 部分)。 若要完成本教程,请先完成:

在笔记本中继续操作

2-explore-cleanse-data.ipynb 是本教程随附的笔记本。

重要

附加在第 1 部分中使用的同一个湖屋。

从湖屋中读取原始数据

从湖屋的“文件”部分读取原始数据。 你在上一个笔记本中上传了此数据。 在运行此代码之前,请确保你已将第 1 部分中使用的湖屋附加到此笔记本。

df = (
    spark.read.option("header", True)
    .option("inferSchema", True)
    .csv("Files/churn/raw/churn.csv")
    .cache()
)

从数据集创建 pandas DataFrame

将 spark DataFrame 转换为 pandas DataFrame,以便更轻松地处理和可视化。

df = df.toPandas()

显示原始数据

使用 display浏览原始数据,执行一些基本统计信息并显示图表视图。 请注意,首先需要导入所需的库,例如 NumpyPnadasSeaborn,以及用于数据分析和可视化的 Matplotlib

import seaborn as sns
sns.set_theme(style="whitegrid", palette="tab10", rc = {'figure.figsize':(9,6)})
import matplotlib.pyplot as plt
import matplotlib.ticker as mticker
from matplotlib import rc, rcParams
import numpy as np
import pandas as pd
import itertools
display(df, summary=True)
# Code generated by Data Wrangler for pandas DataFrame

def clean_data(df):
    # Drop duplicate rows in columns: 'CustomerId', 'RowNumber'
    df = df.drop_duplicates(subset=['CustomerId', 'RowNumber'])
    # Drop rows with missing data across all columns
    df = df.dropna()
    # Drop columns: 'CustomerId', 'RowNumber', 'Surname'
    df = df.drop(columns=['CustomerId', 'RowNumber', 'Surname'])
    return df

df_clean = clean_data(df.copy())
df_clean.head()

使用 Data Wrangler 执行初始数据清理

若要浏览和转换笔记本中的任何 pandas 数据帧,请直接从笔记本启动 Data Wrangler。

注意

当笔记本内核繁忙时,无法打开数据整理程序。 在启动数据整理器之前,单元执行必须已完成。

  1. 在笔记本功能区“数据”选项卡下,选择“启动数据整理器”。 你会看到可供编辑的已激活 pandas DataFrame 列表。
  2. 选择要在 Data Wrangler 中打开的数据帧。 由于此笔记本仅包含 df 这一个 DataFrame,因此请选择 df

屏幕截图显示如何从笔记本启动数据整理程序。

数据整理器启动,并生成数据的描述性概述。 中间的表显示每个数据列。 表旁边的 摘要 面板显示有关数据帧的信息。 在表中选择列时,摘要会更新包含有关所选列的信息。 在某些情况下,显示和汇总的数据将是数据帧的截断视图。 发生这种情况时,你将在摘要窗格中看到警告图像。 将鼠标悬停在此警告上以查看说明情况的文本。

屏幕截图显示了数据整理程序概述。

每次单击时,都可以应用你执行的每个操作,实时更新数据显示,并生成代码,你可以将其保存回笔记本作为可重用的功能。

本部分的其余部分将指导你完成使用 Data Wrangler 执行数据清理的步骤。

删除重复行

在左侧面板中有一个操作列表(例如,查找和替换格式公式数值),这些操作可以在数据集上执行。

  1. 展开 查找并替换,然后选择 删除重复行

    屏幕截图显示“查找和替换”下的“删除重复行”。

  2. 此时会显示一个面板,用于选择要比较的列列表以定义重复行。 选择“RowNumber”和“CustomerId”

    中间面板中是此操作结果的预览。 预览版下是执行操作的代码。 在此实例中,数据似乎保持不变。 但是,由于你正在查看截断的视图,因此最好仍应用该操作。

    屏幕截图显示删除 Data Wrangler 中的重复行。

  3. 选择“应用”(位于侧边或底部),转到下一步

删除包含缺失数据的行

使用 Data Wrangler 删除所有列中缺少数据的行。

  1. 选择 删除缺失值查找和替换

  2. 从“目标列”中选择“全选”

    屏幕截图显示在 Data Wrangler 中删除缺失的行。

  3. 选择“应用”,继续下一步

删除列

使用 Data Wrangler 删除不需要的列。

  1. 展开“架构”并选择“删除列”

  2. 选择 RowNumberCustomerId姓氏。 这些列在预览中显示为红色,以显示代码已更改(在本例中,已删除)。

    屏幕截图显示在数据整理器中删除列。

  3. 选择“应用”,继续下一步

将代码添加到笔记本

每次选择 应用时,都会在左下角 清理步骤 面板中创建新步骤。 在面板底部,选择“预览所有步骤的代码”以查看所有单独步骤的组合

选择左上角的“向笔记本添加代码”以关闭数据整理器并自动添加代码。 “将代码添加到笔记本”将代码包装在函数中,然后调用该函数

屏幕截图显示预览中的代码以及如何访问并添加到笔记本中。

提示

在手动运行新单元格之前,不会应用 Data Wrangler 生成的代码。

如果未使用 Data Wrangler,可以改用下一个代码单元。

此代码与 Data Wrangler 生成的代码类似,但在每个生成的步骤中添加了参数 inplace=True。 通过设置 inplace=True,pandas 将覆盖原始数据帧,而不是生成新的数据帧作为输出。

# Modified version of code generated by Data Wrangler 
# Modification is to add in-place=True to each step

# Define a new function that include all above Data Wrangler operations
def clean_data(df):
    # Drop rows with missing data across all columns
    df.dropna(inplace=True)
    # Drop duplicate rows in columns: 'RowNumber', 'CustomerId'
    df.drop_duplicates(subset=['RowNumber', 'CustomerId'], inplace=True)
    # Drop columns: 'RowNumber', 'CustomerId', 'Surname'
    df.drop(columns=['RowNumber', 'CustomerId', 'Surname'], inplace=True)
    return df

df_clean = clean_data(df.copy())
df_clean.head()

浏览数据

显示已清理数据的一些摘要和可视化效果。

确定分类、数字和目标属性

使用此代码可以确定分类、数字和目标属性。

# Determine the dependent (target) attribute
dependent_variable_name = "Exited"
print(dependent_variable_name)
# Determine the categorical attributes
categorical_variables = [col for col in df_clean.columns if col in "O"
                        or df_clean[col].nunique() <=5
                        and col not in "Exited"]
print(categorical_variables)
# Determine the numerical attributes
numeric_variables = [col for col in df_clean.columns if df_clean[col].dtype != "object"
                        and df_clean[col].nunique() >5]
print(numeric_variables)

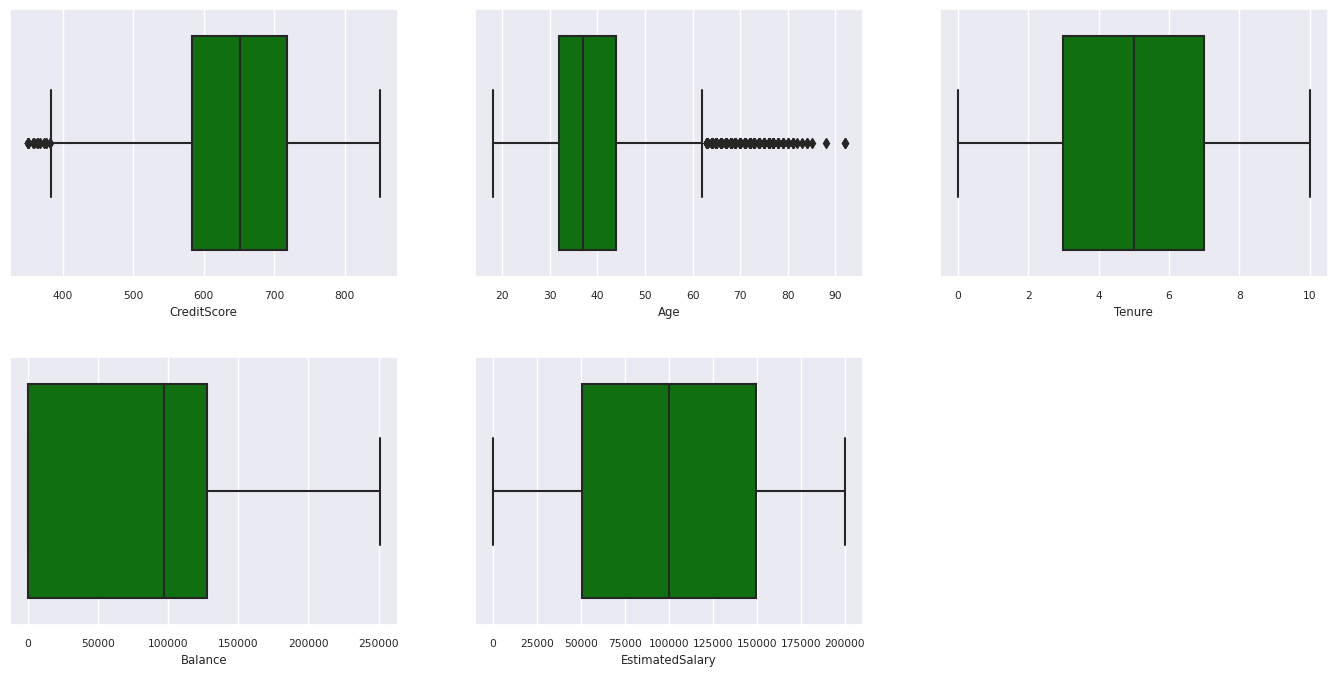
五个数字的摘要

使用箱线图显示数值属性的五数概括(最小值、第一四分位数、中位数、第三四分位数、最大值)。

df_num_cols = df_clean[numeric_variables]
sns.set(font_scale = 0.7) 
fig, axes = plt.subplots(nrows = 2, ncols = 3, gridspec_kw =  dict(hspace=0.3), figsize = (17,8))
fig.tight_layout()
for ax,col in zip(axes.flatten(), df_num_cols.columns):
    sns.boxplot(x = df_num_cols[col], color='green', ax = ax)
fig.delaxes(axes[1,2])

图表显示五数概要。

已退出和未退出客户的分布

显示已退出与未退出客户在分类属性中的分布。

df_clean['Exited'] = df_clean['Exited'].astype(str)
attr_list = ['Geography', 'Gender', 'HasCrCard', 'IsActiveMember', 'NumOfProducts', 'Tenure']
df_clean['Exited'] = df_clean['Exited'].astype(str)
fig, axarr = plt.subplots(2, 3, figsize=(15, 4))
for ind, item in enumerate (attr_list):
    print(ind, item)
    sns.countplot(x = item, hue = 'Exited', data = df_clean, ax = axarr[ind%2][ind//2])
fig.subplots_adjust(hspace=0.7)
df_clean['Exited'] = df_clean['Exited'].astype(int)

图表显示已退出和未退出客户的条形图。

数值属性的分布

使用直方图显示数值属性的频率分布。

columns = df_num_cols.columns[: len(df_num_cols.columns)]
fig = plt.figure()
fig.set_size_inches(18, 8)
length = len(columns)
for i,j in itertools.zip_longest(columns, range(length)):
    plt.subplot((length // 2), 3, j+1)
    plt.subplots_adjust(wspace = 0.2, hspace = 0.5)
    df_num_cols[i].hist(bins = 20, edgecolor = 'black')
    plt.title(i)
plt.show()

Graph 显示数值属性的分布。

执行特征工程

执行特征工程以基于当前属性生成新属性:

df_clean['Tenure'] = df_clean['Tenure'].astype(int)
df_clean["NewTenure"] = df_clean["Tenure"]/df_clean["Age"]
df_clean["NewCreditsScore"] = pd.qcut(df_clean['CreditScore'], 6, labels = [1, 2, 3, 4, 5, 6])
df_clean["NewAgeScore"] = pd.qcut(df_clean['Age'], 8, labels = [1, 2, 3, 4, 5, 6, 7, 8])
df_clean["NewBalanceScore"] = pd.qcut(df_clean['Balance'].rank(method="first"), 5, labels = [1, 2, 3, 4, 5])
df_clean["NewEstSalaryScore"] = pd.qcut(df_clean['EstimatedSalary'], 10, labels = [1, 2, 3, 4, 5, 6, 7, 8, 9, 10])

使用数据整理器执行独热编码

数据整理器还可用于执行独热编码。 为此,请重新打开 Data Wrangler。 这一次,请选择 df_clean 数据。

  1. 展开“公式”并选择“独热编码”
  2. 此时会显示一个面板,用于选择要执行独热编码的列的列表。 选择 地理性别

可以复制生成的代码,关闭 Data Wrangler 以返回到笔记本,然后将其粘贴到新单元格中。 或者,选择 将代码添加到笔记本 左上方以关闭 Data Wrangler 并自动添加代码。

如果未使用 Data Wrangler,可以改用以下代码单元:

# This is the same code that Data Wrangler will generate
 
import pandas as pd

def clean_data(df_clean):
    # One-hot encode columns: 'Geography', 'Gender'
    for column in ['Geography', 'Gender']:
        insert_loc = df_clean.columns.get_loc(column)
        df_clean = pd.concat([df_clean.iloc[:,:insert_loc], pd.get_dummies(df_clean.loc[:, [column]]), df_clean.iloc[:,insert_loc+1:]], axis=1)
    return df_clean

df_clean_1 = clean_data(df_clean.copy())
df_clean_1.head()
# This is the same code that Data Wrangler will generate
 
import pandas as pd
 
def clean_data(df_clean):
    # One-hot encode columns: 'Geography', 'Gender'
    df_clean = pd.get_dummies(df_clean, columns=['Geography', 'Gender'])
    return df_clean
 
df_clean_1 = clean_data(df_clean.copy())
df_clean_1.head()

探索数据分析中的观察结果摘要

  • 与西班牙和德国相比,大多数客户来自法国和德国,而西班牙的流失率最低。
  • 大多数客户都有信用卡。
  • 有些客户的年龄超过 60 岁,信用评分低于 400,但他们不能被视为异常值。
  • 很少有客户拥有两个以上的银行产品。
  • 未处于活动状态的客户流失率较高。
  • 性别和任期年似乎不会影响客户关闭银行账户的决定。

为已清理的数据创建 Delta 表

你将在此系列的下一个笔记本中使用此数据。

table_name = "df_clean"
# Create Spark DataFrame from pandas
sparkDF=spark.createDataFrame(df_clean_1) 
sparkDF.write.mode("overwrite").format("delta").save(f"Tables/{table_name}")
print(f"Spark dataframe saved to delta table: {table_name}")

下一步

使用此数据训练和注册机器学习模型: