적용 대상: SQL Server 2016(13.x) 이상 버전
이것은 SQL Server에서 RevoScaleR 함수를 사용하는 방법에 대한 RevoScaleR 자습서 시리즈 중 자습서 6에 해당됩니다.
이 자습서에서는 R 함수를 사용하여 creditLine 열에서 성별에 따른 값 분포를 확인합니다.
- 히스토그램 입력을 위한 최소-최대 변수 만들기
- RevoScaleR의 rxHistogram을 사용하여 히스토그램의 데이터 시각화
- 기본 R 분포에 포함된 lattice에서 levelplot을 사용하여 산점도로 시각화
이 자습서에 나와 있는 것처럼 동일 스크립트에서 오픈 소스 및 Microsoft 전용 함수를 결합할 수 있습니다.
최댓값 및 최솟값 추가
이전 자습서에서 계산된 요약 통계를 기준으로, 추가 계산을 위해 데이터 소스에 삽입할 수 있는 데이터에 대한 유용한 정보가 발견되었습니다. 예를 들어 최솟값 및 최댓값을 사용하여 히스토그램을 계산할 수 있습니다. 이 연습에서는 상위 값 및 하위 값을 RxSqlServerData 데이터 소스에 추가합니다.
먼저 몇 가지 임시 변수를 설정합니다.
sumDF <- sumOut$sDataFrame var <- sumDF$Name이전 자습서에서 만든 ccColInfo 변수를 사용하여 데이터 소스의 열을 정의합니다.
새로 계산된 열(numTrans, numIntlTrans 및 creditLine)을 원래 정의를 재정의하는 열 컬렉션에 추가합니다. 아래 스크립트는 rxSummary의 메모리 내 출력을 저장하는 sumOut에서 가져온 최솟값 및 최댓값을 기준으로 요소를 추가합니다.
ccColInfo <- list( gender = list(type = "factor", levels = c("1", "2"), newLevels = c("Male", "Female")), cardholder = list(type = "factor", levels = c("1", "2"), newLevels = c("Principal", "Secondary")), state = list(type = "factor", levels = as.character(1:51), newLevels = stateAbb), balance = list(type = "numeric"), numTrans = list(type = "factor", levels = as.character(sumDF[var == "numTrans", "Min"]:sumDF[var == "numTrans", "Max"])), numIntlTrans = list(type = "factor", levels = as.character(sumDF[var == "numIntlTrans", "Min"]:sumDF[var =="numIntlTrans", "Max"])), creditLine = list(type = "numeric") )열 컬렉션을 업데이트한 후 다음 명령문을 적용하여 앞에서 정의한 SQL Server 데이터 원본의 업데이트된 버전을 만듭니다.
sqlFraudDS <- RxSqlServerData( connectionString = sqlConnString, table = sqlFraudTable, colInfo = ccColInfo, rowsPerRead = sqlRowsPerRead)이제 sqlFraudDS 데이터 원본에 ccColInfo를 사용하여 추가된 새 열이 포함됩니다.
이 시점에서 수정 내용은 R의 데이터 원본 개체에만 영향을 주고 데이터베이스 테이블에는 아직 새 데이터가 기록되지 않습니다. 그러나 sumOut 변수에서 캡처된 데이터를 사용하여 시각화 및 요약을 만들 수 있습니다.
팁
사용 중인 계산 컨텍스트가 어느 것인지 잊어버린 경우 rxGetComputeContext() 를 실행합니다. "RxLocalSeq 계산 컨텍스트"의 반환 값은 로컬 계산 컨텍스트로 실행 중임을 나타냅니다.
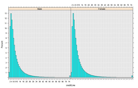
rxHistogram을 사용하여 데이터 시각화
다음 R 코드를 사용하여 rxHistogram 함수를 호출하고 수식 및 데이터 원본을 전달합니다. 처음에 이 코드를 로컬로 실행하여 예상 결과 및 걸리는 시간을 확인할 수 있습니다.
rxHistogram(~creditLine|gender, data = sqlFraudDS, histType = "Percent")내부적으로 rxHistogram 은 RevoScaleR 패키지에 포함된 rxCube 함수를 호출합니다. rxCube는 수식에 지정된 각 변수마다 하나의 열과 개수 열이 포함된 단일 목록(또는 데이터 프레임)을 출력합니다.
다음으로, 계산 컨텍스트를 원격 SQL Server 컴퓨터로 설정하고 다시 rxHistogram 을 실행합니다.
rxSetComputeContext(sqlCompute) rxHistogram(~creditLine|gender, data = sqlFraudDS, histType = "Percent")동일한 데이터 소스를 사용 중이기 때문에 결과가 정확하게 동일하지만, 두 번째 단계에서는 원격 서버에서 계산이 수행됩니다. 그런 다음 결과가 로컬 워크스테이션에 반환되어 그려집니다.

산점도를 사용하여 시각화
산점도는 데이터 탐색 중 두 변수 사이의 관계를 비교하기 위해 종종 사용됩니다. RevoScaleR 함수로 제공된 입력과 함께 이 목적으로 기본 제공 R 패키지를 사용할 수 있습니다.
rxCube 함수를 호출하여 모든 numTrans 및 numIntlTrans 조합에 대해 fraudRisk 평균을 계산합니다.
cube1 <- rxCube(fraudRisk~F(numTrans):F(numIntlTrans), data = sqlFraudDS)그룹 평균을 계산하는 데 사용되는 그룹을 지정하려면
F()표기법을 사용합니다. 이 예에서F(numTrans):F(numIntlTrans)는numTrans및numIntlTrans변수의 정수가 각 정수 값마다 하나의 수준을 사용하여 범주 변수로 처리되어야 함을 나타냅니다.rxCube의 기본 반환 값은 교차 집계를 나타내는 rxCube 개체입니다.
rxResultsDF 함수를 호출하여 R의 표준 그리기 함수 중 하나에서 쉽게 사용할 수 있는 데이터 프레임으로 결과를 변환합니다.
cubePlot <- rxResultsDF(cube1)rxCube 함수는 결과를 데이터 프레임으로 직접 변환하기 위해 사용할 수 있는 선택적 인수인 returnDataFrame = TRUE를 포함합니다. 다음은 그 예입니다.
print(rxCube(fraudRisk~F(numTrans):F(numIntlTrans), data = sqlFraudDS, returnDataFrame = TRUE))하지만 rxResultsDF 출력이 더 명확하며 원본 열의 이름을 유지합니다.
head(cubePlot)다음에head(cube1)를 실행하여 출력을 비교할 수 있습니다.모든 R 배포에 포함된 lattice 패키지에서 levelplot 함수를 사용하여 열 지도를 만듭니다.
levelplot(fraudRisk~numTrans*numIntlTrans, data = cubePlot)결과

이 빠른 분석에서 트랜잭션 수와 국제 트랜잭션 수 둘 다에서 사기 위험이 증가하는 것을 확인할 수 있습니다.
rxCube 함수 및 일반적인 크로스탭에 대한 자세한 내용은 RevoScaleR을 사용한 데이터 요약을 참조하세요.