다음을 통해 공유


R을 사용하여 SQL Server 데이터 시각화(SQL Server 및 RevoScaleR 자습서)

적용 대상: SQL Server 2016(13.x) 이상 버전

이것은 SQL Server에서 RevoScaleR 함수를 사용하는 방법에 대한 RevoScaleR 자습서 시리즈 중 자습서 6에 해당됩니다.

이 자습서에서는 R 함수를 사용하여 creditLine 열에서 성별에 따른 값 분포를 확인합니다.

  • 히스토그램 입력을 위한 최소-최대 변수 만들기
  • RevoScaleRrxHistogram을 사용하여 히스토그램의 데이터 시각화
  • 기본 R 분포에 포함된 lattice에서 levelplot을 사용하여 산점도로 시각화

이 자습서에 나와 있는 것처럼 동일 스크립트에서 오픈 소스 및 Microsoft 전용 함수를 결합할 수 있습니다.

최댓값 및 최솟값 추가

이전 자습서에서 계산된 요약 통계를 기준으로, 추가 계산을 위해 데이터 소스에 삽입할 수 있는 데이터에 대한 유용한 정보가 발견되었습니다. 예를 들어 최솟값 및 최댓값을 사용하여 히스토그램을 계산할 수 있습니다. 이 연습에서는 상위 값 및 하위 값을 RxSqlServerData 데이터 소스에 추가합니다.

  1. 먼저 몇 가지 임시 변수를 설정합니다.

    sumDF <- sumOut$sDataFrame
    var <- sumDF$Name
    
  2. 이전 자습서에서 만든 ccColInfo 변수를 사용하여 데이터 소스의 열을 정의합니다.

    새로 계산된 열(numTrans, numIntlTranscreditLine)을 원래 정의를 재정의하는 열 컬렉션에 추가합니다. 아래 스크립트는 rxSummary의 메모리 내 출력을 저장하는 sumOut에서 가져온 최솟값 및 최댓값을 기준으로 요소를 추가합니다.

    ccColInfo <- list(
        gender = list(type = "factor",
          levels = c("1", "2"), 
          newLevels = c("Male", "Female")),
        cardholder = list(type = "factor",
          levels = c("1", "2"), 
          newLevels = c("Principal", "Secondary")), 
        state = list(type = "factor", 
          levels = as.character(1:51), 
          newLevels = stateAbb), 
        balance  = list(type = "numeric"),
        numTrans = list(type = "factor", 
          levels = as.character(sumDF[var == "numTrans", "Min"]:sumDF[var == "numTrans", "Max"])),
        numIntlTrans = list(type = "factor",  
            levels = as.character(sumDF[var == "numIntlTrans", "Min"]:sumDF[var =="numIntlTrans", "Max"])),
        creditLine = list(type = "numeric")
            )
    
  3. 열 컬렉션을 업데이트한 후 다음 명령문을 적용하여 앞에서 정의한 SQL Server 데이터 원본의 업데이트된 버전을 만듭니다.

    sqlFraudDS <- RxSqlServerData(
        connectionString = sqlConnString,
        table = sqlFraudTable,
        colInfo = ccColInfo,
        rowsPerRead = sqlRowsPerRead)
    

    이제 sqlFraudDS 데이터 원본에 ccColInfo를 사용하여 추가된 새 열이 포함됩니다.

이 시점에서 수정 내용은 R의 데이터 원본 개체에만 영향을 주고 데이터베이스 테이블에는 아직 새 데이터가 기록되지 않습니다. 그러나 sumOut 변수에서 캡처된 데이터를 사용하여 시각화 및 요약을 만들 수 있습니다.

사용 중인 계산 컨텍스트가 어느 것인지 잊어버린 경우 rxGetComputeContext() 를 실행합니다. "RxLocalSeq 계산 컨텍스트"의 반환 값은 로컬 계산 컨텍스트로 실행 중임을 나타냅니다.

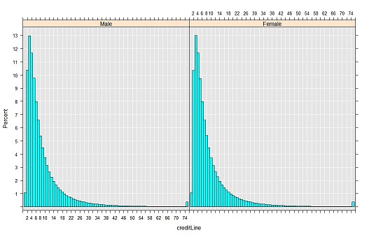
rxHistogram을 사용하여 데이터 시각화

  1. 다음 R 코드를 사용하여 rxHistogram 함수를 호출하고 수식 및 데이터 원본을 전달합니다. 처음에 이 코드를 로컬로 실행하여 예상 결과 및 걸리는 시간을 확인할 수 있습니다.

    rxHistogram(~creditLine|gender, data = sqlFraudDS,  histType = "Percent")
    

    내부적으로 rxHistogramRevoScaleR 패키지에 포함된 rxCube 함수를 호출합니다. rxCube는 수식에 지정된 각 변수마다 하나의 열과 개수 열이 포함된 단일 목록(또는 데이터 프레임)을 출력합니다.

  2. 다음으로, 계산 컨텍스트를 원격 SQL Server 컴퓨터로 설정하고 다시 rxHistogram 을 실행합니다.

    rxSetComputeContext(sqlCompute)
    rxHistogram(~creditLine|gender, data = sqlFraudDS,  histType = "Percent")
    
  3. 동일한 데이터 소스를 사용 중이기 때문에 결과가 정확하게 동일하지만, 두 번째 단계에서는 원격 서버에서 계산이 수행됩니다. 그런 다음 결과가 로컬 워크스테이션에 반환되어 그려집니다.

히스토그램 결과

산점도를 사용하여 시각화

산점도는 데이터 탐색 중 두 변수 사이의 관계를 비교하기 위해 종종 사용됩니다. RevoScaleR 함수로 제공된 입력과 함께 이 목적으로 기본 제공 R 패키지를 사용할 수 있습니다.

  1. rxCube 함수를 호출하여 모든 numTransnumIntlTrans 조합에 대해 fraudRisk 평균을 계산합니다.

    cube1 <- rxCube(fraudRisk~F(numTrans):F(numIntlTrans),  data = sqlFraudDS)
    

    그룹 평균을 계산하는 데 사용되는 그룹을 지정하려면 F() 표기법을 사용합니다. 이 예에서 F(numTrans):F(numIntlTrans)numTransnumIntlTrans 변수의 정수가 각 정수 값마다 하나의 수준을 사용하여 범주 변수로 처리되어야 함을 나타냅니다.

    rxCube의 기본 반환 값은 교차 집계를 나타내는 rxCube 개체입니다.

  2. rxResultsDF 함수를 호출하여 R의 표준 그리기 함수 중 하나에서 쉽게 사용할 수 있는 데이터 프레임으로 결과를 변환합니다.

    cubePlot <- rxResultsDF(cube1)
    

    rxCube 함수는 결과를 데이터 프레임으로 직접 변환하기 위해 사용할 수 있는 선택적 인수인 returnDataFrame = TRUE를 포함합니다. 다음은 그 예입니다.

    print(rxCube(fraudRisk~F(numTrans):F(numIntlTrans), data = sqlFraudDS, returnDataFrame = TRUE))

    하지만 rxResultsDF 출력이 더 명확하며 원본 열의 이름을 유지합니다. head(cubePlot) 다음에 head(cube1)를 실행하여 출력을 비교할 수 있습니다.

  3. 모든 R 배포에 포함된 lattice 패키지에서 levelplot 함수를 사용하여 열 지도를 만듭니다.

    levelplot(fraudRisk~numTrans*numIntlTrans, data = cubePlot)
    

    결과

    scatterplot 결과

이 빠른 분석에서 트랜잭션 수와 국제 트랜잭션 수 둘 다에서 사기 위험이 증가하는 것을 확인할 수 있습니다.

rxCube 함수 및 일반적인 크로스탭에 대한 자세한 내용은 RevoScaleR을 사용한 데이터 요약을 참조하세요.

다음 단계