교착 상태 검색 및 종료
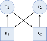
한 태스크에서 잠근 리소스를 다른 태스크에서 잠그려고 하여 둘 이상의 태스크가 서로 영구적으로 차단하면 교착 상태가 발생합니다. 다음 그래프에서는 아래와 같은 교착 상태를 개괄적으로 보여 줍니다.
태스크 T1이 리소스 R1에 대한 잠금을 가지고 있고(R1에서 T1 방향의 화살표로 표시) 리소스 R2에 대한 잠금을 요청합니다(T1에서 R2 방향의 화살표로 표시).
태스크 T2가 리소스 R2에 대한 잠금을 가지고 있고(R2에서 T2 방향의 화살표로 표시) 리소스 R1에 대한 잠금을 요청합니다(T2에서 R1 방향의 화살표로 표시).
리소스가 사용 가능한 상태가 되어야 태스크를 계속할 수 있고 태스크가 계속되어야 리소스를 해제할 수 있으므로 교착 상태가 발생합니다.
.gif)
SQL Server 데이터베이스 엔진은 SQL Server에서 교착 상태 순환을 자동으로 검색합니다. 그런 다음 데이터베이스 엔진에서 교착 상태에 있는 세션 중 처리하지 않을 세션을 하나 선택하면 현재 트랜잭션이 오류와 함께 종료되면서 교착 상태가 해제됩니다.
교착 상태를 일으킬 수 있는 리소스
사용자 세션마다 세션을 위해 실행 중인 태스크가 하나 이상 있고 각 태스크는 다양한 리소스를 획득하거나 획득 대기 중일 수 있습니다. 다음 유형의 리소스가 차단을 일으켜 교착 상태가 발생할 수 있습니다.
잠금. 개체, 페이지, 행, 메타데이터, 응용 프로그램 등의 리소스에 대한 잠금을 획득하려고 대기할 때 교착 상태가 발생할 수 있습니다. 예를 들어 트랜잭션 T1이 r1 행에 대한 공유(S) 잠금을 가지고 있고 r2에 대한 배타적(X) 잠금을 얻으려고 대기 중입니다. 트랜잭션 T2가 r2에 대한 공유(S) 잠금을 가지고 있고 r1 행에 대한 배타적(X) 잠금을 얻으려고 대기 중입니다. 이 경우 T1과 T2가 서로 잠근 리소스를 해제할 때까지 대기하는 잠금 순환이 발생합니다.
작업자 스레드. 사용 가능한 작업자 스레드를 대기하는 태스크가 교착 상태를 일으킬 수 있습니다. 대기 태스크가 모든 작업자 스레드를 차단하는 리소스를 소유하는 경우 교착 상태가 발생합니다. 예를 들어 세션 S1이 트랜잭션을 시작하고 r1 행에 대한 공유(S) 잠금을 획득한 후 중지됩니다. 사용 가능한 모든 작업자 스레드에서 실행 중인 활성 세션이 r1 행에 대한 배타적(X) 잠금을 획득하려고 합니다. 세션 S1이 작업자 스레드를 획득할 수 없으므로 트랜잭션을 커밋할 수 없고 r1 행에 대한 잠금을 해제하지 못합니다. 이로 인해 교착 상태가 발생합니다.
메모리. 동시 요청이 사용 가능한 메모리보다 많은 메모리 부여를 대기하는 경우 교착 상태가 발생할 수 있습니다. 예를 들어 두 개의 동시 쿼리 Q1과 Q2가 각각 10MB와 20MB의 메모리를 획득하는 사용자 정의 함수를 실행합니다. 각 쿼리에 30MB가 필요하고 사용 가능한 총 메모리는 20MB인 경우 Q1과 Q2는 서로 메모리를 해제할 때까지 대기해야 하며 이로 인해 교착 상태가 발생합니다.
병렬 쿼리 실행 관련 리소스. 교환 포트와 관련된 코디네이터, 제작자 및 소비자 스레드는 대개 병렬 쿼리에 속하지 않는 하나 이상의 다른 프로세스를 포함할 경우 서로 차단하여 교착 상태를 일으킵니다. 또한 병렬 쿼리 실행을 시작할 때 SQL Server는 현재 작업을 기반으로 병렬 처리 수준, 즉 작업자 스레드 수를 결정합니다. 예를 들어 서버에서 새 쿼리 실행이 시작되거나 시스템에 작업자 스레드가 부족하여 시스템 작업이 예기치 않게 변경되면 교착 상태가 발생할 수 있습니다.
MARS(Multiple Active Result Sets) 리소스. MARS 리소스는 MARS에서 여러 활성 요청의 인터리브를 제어하는 데 사용합니다. 일괄 처리 실행 환경 및 MARS를 참조하십시오.
사용자 리소스. 스레드가 사용자 응용 프로그램에서 제어하는 리소스를 대기할 때 해당 리소스는 외부 또는 사용자 리소스로 간주되고 잠금처럼 처리됩니다.
세션 뮤텍스. 한 세션에서 실행되고 있는 태스크가 인터리브됩니다. 이는 세션에서 한 태스크만 실행할 수 있음을 나타냅니다. 세션 뮤텍스를 배타적으로 사용할 수 있어야 태스크가 실행될 수 있습니다.
트랜잭션 뮤텍스. 한 트랜잭션에서 실행되고 있는 가 인터리브됩니다. 이는 트랜잭션에서 한 태스크만 실행할 수 있음을 나타냅니다. 트랜잭션 뮤텍스를 배타적으로 사용할 수 있어야 태스크가 실행될 수 있습니다.
MARS에서 태스크가 빠르게 실행되려면 태스크가 세션 뮤텍스를 획득해야 합니다. 태스크가 트랜잭션에서 실행되고 있는 경우에는 트랜잭션 뮤텍스를 획득해야 합니다. 이를 통해 지정된 세션과 지정된 트랜잭션에서 한 번에 한 태스크만 활성화되도록 할 수 있습니다. 필요한 뮤텍스가 획득되면 태스크가 실행될 수 있습니다. 태스크가 완료되거나 요청 중간에 취소되면 태스크는 뮤텍스를 획득할 때와는 반대의 순서로 먼저 트랜잭션 뮤텍스를 해제하고 세션 뮤텍스를 해제합니다. 그러나 이러한 리소스에서 교착 상태가 발생할 수 있습니다. 다음 코드 예제에서는 사용자 요청 U1과 사용자 요청 U2라는 두 태스크가 같은 세션에서 실행되고 있습니다.
U1: Rs1=Command1.Execute("insert sometable EXEC usp_someproc"); U2: Rs2=Command2.Execute("select colA from sometable");사용자 요청 U1에서 실행되는 저장 프로시저가 세션 뮤텍스를 획득합니다. 저장 프로시저를 실행하는 데 시간이 오래 걸리면 데이터베이스 엔진은 저장 프로시저가 사용자 입력을 대기하고 있는 것으로 간주합니다. 사용자가 사용자 요청 U2의 결과 집합을 대기하는 동안 U2는 세션 뮤텍스를 대기하고 U1은 사용자 리소스를 대기합니다. 다음 그림에서는 이 교착 상태를 논리적으로 보여 줍니다.
.gif)
교착 상태 검색
위의 섹션에서 나열한 리소스는 모두 데이터베이스 엔진 교착 상태 검색 스키마에 포함됩니다. 교착 상태 검색은 데이터베이스 엔진 인스턴스의 모든 태스크에 대한 검색을 주기적으로 시작하는 잠금 모니터에서 수행합니다. 다음은 검색 프로세스에 대한 설명입니다.
기본 간격은 5초입니다.
잠금 모니터 스레드가 교착 상태를 발견하면 잠금 상태의 빈도에 따라 5초에서 최하 100밀리초까지 교착 상태 검색 간격이 짧아집니다.
잠금 모니터 스레드가 교착 상태 검색을 중지하면 데이터베이스 엔진은 검색 간격을 5초로 늘립니다.
교착 상태가 검색되면 잠금을 대기해야 하는 다음 스레드가 교착 상태 순환에 들어가는 것으로 간주됩니다. 교착 상태 검색 후 처음 두 번의 잠금 대기에서 다음 교착 상태 검색 간격을 대기하지 않고 교착 상태 검색을 즉시 트리거합니다. 예를 들어 현재 간격이 5초일 경우 교착 상태가 검색되면 다음 잠금 대기에서 교착 상태 검색기를 즉시 시작합니다. 교착 상태에 속할 경우 이 잠금 대기는 다음 교착 상태 검색 전에 바로 검색됩니다.
일반적으로 데이터베이스 엔진은 주기적인 교착 상태 검색만 수행합니다. 시스템에서 발생하는 교착 상태 수는 대개 적으므로 주기적인 교착 상태 검색을 통해 시스템의 교착 상태 검색 오버헤드를 줄일 수 있습니다.
특정 스레드에 대해 교착 상태 검색을 시작할 때 잠금 모니터는 스레드가 대기하고 있는 리소스를 확인합니다. 그런 다음 잠금 모니터는 해당 리소스의 소유자를 찾은 후 순환을 발견할 때까지 이러한 스레드에 대한 교착 상태 검색을 반복적으로 수행합니다. 이러한 방법을 통해 확인된 순환으로 교착 상태가 일어납니다.
교착 상태가 검색되면 데이터베이스 엔진은 교착 상태에 있는 스레드 중 처리하지 않을 스레드를 하나 선택하여 교착 상태를 끝냅니다. 데이터베이스 엔진은 스레드에 대해 실행되고 있는 현재 일괄 처리를 종료하고 해당 트랜잭션을 롤백한 후 응용 프로그램에 1205 오류를 반환합니다. 처리하지 않도록 선택된 스레드의 트랜잭션이 롤백되면 이 트랜잭션에서 보유하는 모든 잠금이 해제됩니다. 이를 통해 다른 스레드의 트랜잭션이 차단 해제되고 계속됩니다. 1205 교착 상태 미처리 오류는 교착 상태와 관련된 스레드와 리소스에 대한 정보를 오류 로그에 기록합니다.
기본적으로 데이터베이스 엔진은 롤백 비용이 가장 저렴한 트랜잭션을 실행하는 세션을 처리하지 않도록 선택합니다. 또는 사용자가 SET DEADLOCK_PRIORITY 문을 사용하여 교착 상태에 있는 세션의 우선 순위를 지정할 수 있습니다. DEADLOCK_PRIORITY를 LOW, NORMAL 또는 HIGH로 설정하거나 -10에서 10 사이의 정수 값으로 설정할 수 있습니다. 교착 상태 우선 순위는 기본적으로 NORMAL입니다. 두 세션의 교착 상태 우선 순위가 다르면 교착 상태 우선 순위가 낮은 세션이 처리하지 않을 세션으로 선택됩니다. 두 세션의 교착 상태 우선 순위가 같으면 롤백 비용이 가장 저렴한 트랜잭션의 세션이 선택됩니다. 교착 상태 순환과 관련된 세션의 교착 상태 우선 순위와 비용이 같으면 임의의 세션이 선택됩니다.
CLR를 사용할 경우 교착 상태 모니터는 관리 프로시저 내부에서 액세스하는 모니터, 판독기/기록기 잠금, 스레드 조인 등의 동기화 리소스에 대한 교착 상태를 자동으로 검색합니다. 그러나 처리하지 않도록 선택된 프로시저에서 예외가 발생하면 교착 상태가 해결됩니다. 처리하지 않도록 선택된 프로시저에서 현재 소유하고 있는 리소스가 예외를 통해 자동으로 해제되지는 않습니다. 리소스는 명시적으로 해제해야 합니다. 예외 동작에 따라 처리하지 않도록 선택된 프로시저를 확인하는 데 사용되는 예외를 찾아 해제할 수 있습니다.
교착 상태 정보 도구
교착 상태 정보를 표시하기 위해 데이터베이스 엔진은 SQL Server Profiler에서 교착 상태 그래프 이벤트와 두 개의 추적 플래그 형식으로 모니터링 도구를 제공합니다.
추적 플래그 1204 및 추적 플래그 1222
교착 상태가 발생하면 추적 플래그 1204와 추적 플래그 1222는 SQL Server 2005 오류 로그에 캡처된 정보를 반환합니다. 추적 플래그 1204는 교착 상태와 관련된 각 노드에 의해 형식이 지정된 교착 상태 정보를 보고합니다. 추적 플래그 1222는 프로세스별 및 리소스별 순서로 교착 상태 정보의 형식을 지정합니다. 두 추적 플래그에서 동일한 교착 상태 이벤트의 두 가지 표현을 가져오도록 설정할 수 있습니다.
다음 표에서는 추적 플래그 1204 및 1222의 속성 정의 외에도 두 추적 플래그의 유사점과 차이점을 보여 줍니다.
속성 |
추적 플래그 1204 및 추적 플래그 1222 |
추적 플래그 1204만 해당 |
추적 플래그 1222만 해당 |
|---|---|---|---|
출력 형식 |
SQL Server 2005 오류 로그에 출력이 캡처됩니다. |
교착 상태와 관련된 노드에 초점을 둡니다. 각 노드에 해당하는 섹션이 있으며 마지막 섹션에서 교착 상태에 대해 설명합니다. |
XSD(XML 스키마 정의) 스키마를 따르지 않는 XML과 유사한 형식으로 정보를 반환합니다. 형식은 3가지 주요 섹션으로 이루어져 있습니다. 첫 번째 섹션에서는 교착 상태를 선언합니다. 두 번째 섹션에서는 교착 상태와 관련된 각 프로세스에 대해 설명합니다. 세 번째 섹션에서는 추적 플래그 1204의 노드와 같은 리소스에 대해 설명합니다. |
식별 특성 |
SPID:<x> ECID:<x>. 병렬 프로세스의 경우 시스템 프로세스 ID 스레드를 식별합니다. SPID:<x> ECID:0 항목은 주 스레드를 나타냅니다. 여기서 <x>는 SPID 값으로 대체됩니다. SPID:<x> ECID:<y> 항목은 동일한 SPID의 하위 스레드를 나타냅니다. 여기서 <x>는 SPID 값으로 대체되고 <y>는 0보다 큽니다. BatchID(추적 플래그 1222의 경우 sbid). 잠금을 요청하거나 보유하고 있는 코드 실행이 속한 일괄 처리를 식별합니다. MARS(Multiple Active Result Sets)가 해제되어 있으면 BatchID 값은 0입니다. MARS가 설정되어 있으면 활성 일괄 처리 값은 1에서 n 사이입니다. 세션에 활성 일괄 처리가 없는 경우 BatchID는 0입니다. Mode. 스레드가 요청, 부여 또는 대기한 특정 리소스에 대한 잠금 유형을 지정합니다. Mode는 IS(내재된 공유), S(공유), U(업데이트), IX(의도 배타), SIX(의도 배타 공유) 및 X(배타)가 될 수 있습니다. 자세한 내용은 잠금 모드를 참조하십시오. Line #(추적 플래그 1222의 경우 line). 현재 문 일괄 처리에서 교착 상태 발생 시 실행 중이었던 줄 번호를 나열합니다. Input Buf(추적 플래그 1222의 경우 inputbuf). 현재 일괄 처리에 있는 모든 문을 나열합니다. |
Node. 교착 상태 체인에서 항목 번호를 나타냅니다. Lists. 잠금 소유자는 다음 목록에 포함될 수 있습니다.
Statement Type. 스레드에 사용 권한이 있는 DML 문의 유형(SELECT, INSERT, UPDATE 또는 DELETE)에 대해 설명합니다. Victim Resource Owner. SQL Server에서 교착 상태 순환을 끊도록 선택되는 참여하는 스레드를 지정합니다. 선택된 스레드와 기존의 모든 하위 스레드가 종료됩니다. Next Branch. 교착 상태 순환과 관련된 동일한 SPID의 하위 스레드 두 개 이상을 나타냅니다. |
deadlock victim. 교착 상태에 있는 태스크 중 처리하지 않도록 선택된 태스크의 실제 메모리 주소를 나타냅니다. sys.dm_os_tasks(Transact-SQL)를 참조하십시오. 해결되지 않은 교착 상태의 경우 이 속성이 0일 수 있습니다. 롤백하고 있는 태스크를 처리하지 않도록 선택할 수는 없습니다. executionstack. 교착 상태 발생 시 실행 중인 Transact-SQL 코드를 나타냅니다. priority. 교착 상태 우선 순위를 나타냅니다. 특정 경우에 동시성 향상을 위해 데이터베이스 엔진에서 잠시 교착 상태 우선 순위를 바꿀 수 있습니다. logused. 태스크에서 사용하는 로그 공간입니다. owner id. 요청을 제어하는 트랜잭션의 ID입니다. status. 태스크의 상태입니다. 다음 값 중 하나입니다.
waitresource. 태스크에 필요한 리소스입니다. waittime. 리소스 대기 시간(밀리초)입니다. schedulerid. 이 태스크와 관련된 스케줄러입니다. sys.dm_os_schedulers(Transact-SQL)를 참조하십시오. hostname. 워크스테이션의 이름입니다. isolationlevel. 현재 트랜잭션 격리 수준입니다. Xactid. 요청을 제어하는 트랜잭션의 ID입니다. currentdb. 데이터베이스의 ID입니다. lastbatchstarted. 클라이언트 프로세스에서 일괄 처리 실행을 마지막으로 시작한 시간입니다. lastbatchcompleted. 클라이언트 프로세스에서 일괄 처리 실행을 마지막으로 완료한 시간입니다. clientoption1 및 clientoption2. 이 클라이언트 연결의 옵션을 설정합니다. 대개 SET NOCOUNT와 SET XACTABORT 등의 SET 문으로 제어하는 옵션에 대한 정보가 포함된 비트 마스크입니다. associatedObjectId. HoBT(힙 또는 B-트리) ID를 나타냅니다. |
리소스 특성 |
RID. 잠금이 보유 또는 요청된 테이블 내의 단일 행을 식별합니다. RID는 RID: db_id:file_id:page_no:row_no로 표시됩니다. 예를 들면 RID: 6:1:20789:0과 같습니다. OBJECT. 잠금이 보유 또는 요청된 테이블을 식별합니다. OBJECT는 OBJECT: db_id:object_id로 표시됩니다. 예를 들면 TAB: 6:2009058193과 같습니다. KEY. 잠금이 보유 또는 요청된 인덱스 내의 키 범위를 식별합니다. KEY는 KEY: db_id:hobt_id (index key hash value)로 표시됩니다. 예를 들면 KEY: 6:72057594057457664 (350007a4d329)와 같습니다. PAG. 잠금이 보유 또는 요청된 페이지 리소스를 식별합니다. PAG는 PAG: db_id:file_id:page_no로 표시됩니다. 예를 들면 PAG: 6:1:20789와 같습니다. EXT. 익스텐트 구조를 식별합니다. EXT는 EXT: db_id:file_id:extent_no로 표시됩니다. 예를 들면 EXT: 6:1:9와 같습니다. DB. 데이터베이스 잠금을 식별합니다. DB는 다음 방법 중 하나로 표시됩니다.
APP. 응용 프로그램 리소스에서 수행된 잠금을 식별합니다. APP는 APP: lock_resource로 표시됩니다. 예를 들면 APP: Formf370f478과 같습니다. METADATA. 교착 상태와 관련된 메타데이터 리소스를 나타냅니다. METADATA에는 많은 하위 리소스가 있으므로 반환되는 값은 교착 상태가 발생한 하위 리소스에 따라 달라집니다. 예를 들어 METADATA.USER_TYPE는 user_type_id = <integer_value>를 반환합니다. METADATA 리소스 및 하위 리소스에 대한 자세한 내용은 sys.dm_tran_locks(Transact-SQL)를 참조하십시오. HOBT. 교착 상태와 관련된 힙 또는 B-트리를 나타냅니다. |
이 추적 플래그에만 관련된 사항이 없습니다. |
이 추적 플래그에만 관련된 사항이 없습니다. |
추적 플래그 1204 예
다음 예에서는 추적 플래그 1204가 설정되어 있을 때의 출력을 보여 줍니다. 이 경우 노드 1의 테이블은 인덱스가 없는 힙이고 노드 2의 테이블은 비클러스터형 인덱스가 있는 힙입니다. 노드 2의 인덱스 키는 교착 상태 발생 시 업데이트 중입니다.
Deadlock encountered .... Printing deadlock information
Wait-for graph
Node:1
RID: 6:1:20789:0 CleanCnt:3 Mode:X Flags: 0x2
Grant List 0:
Owner:0x0315D6A0 Mode: X
Flg:0x0 Ref:0 Life:02000000 SPID:55 ECID:0 XactLockInfo: 0x04D9E27C
SPID: 55 ECID: 0 Statement Type: UPDATE Line #: 6
Input Buf: Language Event:
BEGIN TRANSACTION
EXEC usp_p2
Requested By:
ResType:LockOwner Stype:'OR'Xdes:0x03A3DAD0
Mode: U SPID:54 BatchID:0 ECID:0 TaskProxy:(0x04976374) Value:0x315d200 Cost:(0/868)
Node:2
KEY: 6:72057594057457664 (350007a4d329) CleanCnt:2 Mode:X Flags: 0x0
Grant List 0:
Owner:0x0315D140 Mode: X
Flg:0x0 Ref:0 Life:02000000 SPID:54 ECID:0 XactLockInfo: 0x03A3DAF4
SPID: 54 ECID: 0 Statement Type: UPDATE Line #: 6
Input Buf: Language Event:
BEGIN TRANSACTION
EXEC usp_p1
Requested By:
ResType:LockOwner Stype:'OR'Xdes:0x04D9E258
Mode: U SPID:55 BatchID:0 ECID:0 TaskProxy:(0x0475E374) Value:0x315d4a0 Cost:(0/380)
Victim Resource Owner:
ResType:LockOwner Stype:'OR'Xdes:0x04D9E258
Mode: U SPID:55 BatchID:0 ECID:0 TaskProxy:(0x0475E374) Value:0x315d4a0 Cost:(0/380)
추적 플래그 1222 예
다음 예에서는 추적 플래그 1222가 설정되어 있을 때의 출력을 보여 줍니다. 이 경우 한 테이블은 인덱스가 없는 힙이고 다른 테이블은 비클러스터형 인덱스가 있는 힙입니다. 두 번째 테이블의 인덱스 키는 교착 상태 발생 시 업데이트 중입니다.
deadlock-list
deadlock victim=process689978
process-list
process id=process6891f8 taskpriority=0 logused=868
waitresource=RID: 6:1:20789:0 waittime=1359 ownerId=310444
transactionname=user_transaction
lasttranstarted=2005-09-05T11:22:42.733 XDES=0x3a3dad0
lockMode=U schedulerid=1 kpid=1952 status=suspended spid=54
sbid=0 ecid=0 priority=0 transcount=2
lastbatchstarted=2005-09-05T11:22:42.733
lastbatchcompleted=2005-09-05T11:22:42.733
clientapp=Microsoft SQL Server Management Studio - Query
hostname=TEST_SERVER hostpid=2216 loginname=DOMAIN\user
isolationlevel=read committed (2) xactid=310444 currentdb=6
lockTimeout=4294967295 clientoption1=671090784 clientoption2=390200
executionStack
frame procname=AdventureWorks.dbo.usp_p1 line=6 stmtstart=202
sqlhandle=0x0300060013e6446b027cbb00c69600000100000000000000
UPDATE T2 SET COL1 = 3 WHERE COL1 = 1;
frame procname=adhoc line=3 stmtstart=44
sqlhandle=0x01000600856aa70f503b8104000000000000000000000000
EXEC usp_p1
inputbuf
BEGIN TRANSACTION
EXEC usp_p1
process id=process689978 taskpriority=0 logused=380
waitresource=KEY: 6:72057594057457664 (350007a4d329)
waittime=5015 ownerId=310462 transactionname=user_transaction
lasttranstarted=2005-09-05T11:22:44.077 XDES=0x4d9e258 lockMode=U
schedulerid=1 kpid=3024 status=suspended spid=55 sbid=0 ecid=0
priority=0 transcount=2 lastbatchstarted=2005-09-05T11:22:44.077
lastbatchcompleted=2005-09-05T11:22:44.077
clientapp=Microsoft SQL Server Management Studio - Query
hostname=TEST_SERVER hostpid=2216 loginname=DOMAIN\user
isolationlevel=read committed (2) xactid=310462 currentdb=6
lockTimeout=4294967295 clientoption1=671090784 clientoption2=390200
executionStack
frame procname=AdventureWorks.dbo.usp_p2 line=6 stmtstart=200
sqlhandle=0x030006004c0a396c027cbb00c69600000100000000000000
UPDATE T1 SET COL1 = 4 WHERE COL1 = 1;
frame procname=adhoc line=3 stmtstart=44
sqlhandle=0x01000600d688e709b85f8904000000000000000000000000
EXEC usp_p2
inputbuf
BEGIN TRANSACTION
EXEC usp_p2
resource-list
ridlock fileid=1 pageid=20789 dbid=6 objectname=AdventureWorks.dbo.T2
id=lock3136940 mode=X associatedObjectId=72057594057392128
owner-list
owner id=process689978 mode=X
waiter-list
waiter id=process6891f8 mode=U requestType=wait
keylock hobtid=72057594057457664 dbid=6 objectname=AdventureWorks.dbo.T1
indexname=nci_T1_COL1 id=lock3136fc0 mode=X
associatedObjectId=72057594057457664
owner-list
owner id=process6891f8 mode=X
waiter-list
waiter id=process689978 mode=U requestType=wait
프로파일러 교착 상태 그래프 이벤트
교착 상태와 관련된 태스크 및 리소스를 그림으로 설명하는 SQL Server Profiler의 이벤트입니다. 다음 예에서는 교착 상태 그래프 이벤트가 설정되어 있을 때 SQL Server Profiler의 출력을 보여 줍니다.
.gif)
SQL Server Profiler 교착 상태 그래프를 실행하는 방법은 SQL Server 프로파일러를 사용하여 교착 상태 분석을 참조하십시오.