사용자 정의 필터

사용자 지정 유한 또는 무한 임펄스 응답 필터 만들기

범주: 데이터 변환/필터

참고

적용 대상: Machine Learning Studio(클래식) 전용

유사한 끌어서 놓기 모듈은 Azure Machine Learning 디자이너에서 사용할 수 있습니다.

모듈 개요

이 문서에서는 Machine Learning Studio(클래식)에서 사용자 정의 필터 모듈을 사용하여 FIR(유한 임펄스 응답) 필터 또는 지정한 계수가 있는 IIR(무한 임펄스 응답) 필터를 사용하여 사용자 지정 필터를 정의하는 방법을 설명합니다.

필터는 입력 신호를 받아 필터 특성에 따라 출력 신호를 만드는 전송 함수입니다. 디지털 신호 처리에서 필터 사용자에 대한 자세한 내용은 필터를 참조 하세요. 이 모듈은 이전에 파생된 필터 계수 집합을 데이터에 적용하려는 경우 특히 유용합니다.

요구 사항을 충족하는 필터를 정의한 후에는 데이터 세트와 필터를 필터 적용 모듈에 연결하여 데이터에 필터를 적용 할 수 있습니다.

데이터 세트에서 데이터를 필터링하거나 누락된 값을 제거해야 합니까? 대신 다음 모듈을 사용합니다.

  • 누락된 데이터 정리: 이 모듈을 사용하여 누락된 값을 제거하거나 누락된 값을 자리 표시자로 바꿀 수 있습니다.
  • 파티션 및 샘플: 이 모듈을 사용하여 날짜 범위, 특정 값 또는 정규식과 같은 기준으로 데이터 세트를 나누거나 필터링합니다.
  • 클립 값: 이 모듈을 사용하여 범위를 설정하고 해당 범위 내의 값만 유지합니다.

User-Defined 필터를 구성하는 방법

  1. Studio(클래식)에서 실험에 사용자 정의 필터 모듈을 추가합니다. 이 모듈은 필터 범주의 데이터 변환 아래에서 찾을 수 있습니다.

  2. 속성 창에서 필터 유형(FIR 필터 또는 IIR 필터)을 선택합니다.

  3. 필터에 적용할 계수를 제공합니다. 계수에 대한 요구 사항은 FIR 필터 또는 IIR 필터 선택 여부에 따라 다릅니다.

    • FIR 필터의 경우 피드 정방향 계수 벡터를 지정합니다. 벡터의 길이에 따라 필터의 순서가 결정됩니다. FIR 필터는 실제로 이동 평균이므로 구성 값은 이동 평균을 적용해 데이터 시퀀스를 필터링합니다.

    • IIR 필터의 경우 사용자 지정 피드 정방향 및 피드 역방향 계수를 적용합니다. 몇 가지 팁 은 예제 섹션을 참조하세요.

  4. 필터를 필터 적용으로 커넥트 데이터 세트를 연결합니다.

    열 선택기를 사용하여 필터를 적용할 데이터 세트의 열을 지정합니다. 기본적으로 필터 적용 모듈은 선택한 모든 숫자 열에 대해 필터를 사용합니다.

  5. 실험을 실행합니다.

    필터 적용을 사용하여 실험을 실행할 때만 지정된 변환이 선택한 숫자 열에 적용됩니다.

기계 학습에서 필터를 사용하는 방법에 대한 자세한 예제는 Azure AI 갤러리를 참조하세요.

  • 필터: 모든 필터 형식을 보여 줍니다. 이 예제에서는 엔지니어링된 파형 데이터 집합을 사용하여 여러 다른 필터의 효과를 더욱 쉽게 설명합니다.

FIR 필터 예제: 지수 가중 이동 평균

지수 가중 이동 평균의 경우에는 모든 계수가 1보다 작으며 모든 계수의 합이 1입니다. 따라서 가중 평균의 차이는 항상 입력 값보다 작습니다.

예를 들어, FIR 필터에서 지수 가중 이동 평균(WMA)의 근사치를 구하려면 피드 정방향 매개 변수 값으로 쉼표로 구분된 계수 목록을 제공합니다.

0.01818182, 0.03636364, 0.05454545, 0.07272727, 0.09090909, 0.10909091, 0.12727273, 0.14545455, 0.16363636, 0.18181818

FIR 필터 예제: 지수 가중 이동 평균(Deslauriers-Dubuc 보간)

이 FIR 필터는 WMA(삼각형 가중 이동 평균)를 근사치로 표시합니다. 다음과 같이 피드 전달 매개 변수에 대해 쉼표로 구분된 일련의 값을 제공하여 계수를 정의합니다.

0.0625, 0.0625, 0.2500, 0.3750, 0.2500, 0.0625

이 사용자 지정 FIR 필터에 사용되는 값은 유한 시퀀싱의 Deslauriers-Dubuc 메서드를 사용하여 얻은 피드 전달 계수의 벡터를 나타냅니다. 자세한 내용은 간격에 대한 유한 시퀀스 및 보간 Wavelet에 대한 Dubuc-Deslauriers 세분화를 참조하세요.

IIR 필터 예제: 노치 필터

사용자 정의 IIR 필터에 대한 애플리케이션의 좋은 예는 밴드스톱 필터라고도 하는 노치 필터를 정의하는 것입니다. 원하는 노치 필터는 샘플링 빈fs도를 사용하여 -3dB 거부 대역인 fb를 노치 주파수 fn가운데에 감쇠합니다.

이 경우 디지털 노치 필터는 다음 수식으로 나타낼 수 있습니다.

custom notch filter example 1

이 수식은 다음을 가정합니다.

custom notch filter

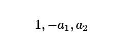
이 수식에서 피드 전달 계수를 가져올 수 있습니다.

feed forward coefficient for custom notch filter

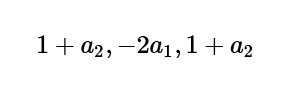
이전 공급 계수는 다음과 같습니다.

feed back coefficient for custom notch filter

IIR 필터의 예: 노치 필터 2

다음 예제에서는 노치 빈도가 있는 노치 필터와 -3 dB 샘플링 빈fs=10 kHz도가 fn =1250 Hz 있는 거부 대역fb =100 Hz을 보여줍니다.

formula for notch filter example 2-1

다음 수식을 사용하여 다음을 가져옵니다.a2 = 0.93906244a1 = 1.3711242

formulas 2 for notch filter example 2

이를 통해 다음 피드포워드(b) 및 피드 후진(a) 계수를 가져올 수 있습니다.

b= 1.9390624, -2.7422484, 1.9390624

a= 1, -1.3711242, 0.9390624

모듈 매개 변수

Name 범위 Type 기본값 Description
필터 형식 any ImpulseResponse 사용자 지정할 필터의 형식을 지정합니다.
앞으로 any String "1.0" 일련의 피드 정방향 계수를 입력합니다.
뒤로 any String "1.0" 일련의 피드 역방향 필터 계수를 입력합니다.

출력

Name Type Description
Assert IFilter 인터페이스 필터 구현입니다.

예외

예외 설명
ParameterParsing 하나 이상의 매개 변수를 구문 분석할 수 없거나 지정한 형식에서 대상 방법에 필요한 형식으로 변환할 수 없으면 예외가 발생합니다.

Studio(클래식) 모듈과 관련된 오류 목록은 Machine Learning 오류 코드를 참조하세요.

API 예외 목록은 Machine Learning REST API 오류 코드를 참조하세요.

추가 정보

필터 적용
전체 모듈 목록