User-Defined Filter

Crea un filtro FIR (Finite Impulse Response, risposta finita all'impulso) o IIR (Infinite Impulse Response, risposta all'impulso infinita) personalizzato

Categoria: Trasformazione dati/Filtro

Nota

Si applica a: solo Machine Learning Studio (versione classica)

I moduli di trascinamento della selezione simili sono disponibili in Azure Machine Learning finestra di progettazione.

Panoramica del modulo

Questo articolo descrive come usare il modulo Filtro definito dall'utente in Machine Learning Studio (versione classica) per definire un filtro personalizzato usando un filtro FIR (Finite Impulse Response) o un filtro IIR (Infinite Impulse Response) con coefficienti specificati.

Un filtro è una funzione di trasferimento che accetta un segnale di input e crea un segnale di output in base alle caratteristiche del filtro. Per informazioni più generali sull'utente dei filtri nell'elaborazione dei segnali digitali, vedere Filtrare. Questo modulo è particolarmente utile per l'applicazione ai dati di un set di coefficienti di filtro derivati in precedenza.

Dopo aver definito un filtro che soddisfi le proprie esigenze, è possibile applicare il filtro ai dati connettendo un set di dati e il filtro al modulo Applica filtro .

Suggerimento

È necessario filtrare i dati da un set di dati o rimuovere valori mancanti? Usare invece questi moduli:

  • Pulisci dati mancanti: usare questo modulo per rimuovere i valori mancanti o sostituire i valori mancanti con segnaposto.
  • Partizionamento ed esempio: usare questo modulo per dividere o filtrare il set di dati in base a criteri quali un intervallo di date, un valore specifico o espressioni regolari.
  • Valori clip: usare questo modulo per impostare un intervallo e mantenere solo i valori all'interno di tale intervallo.

Come configurare il filtro User-Defined

  1. Aggiungere il modulo Filtro definito dall'utente all'esperimento in Studio (versione classica). Questo modulo è disponibile in Trasformazione dati nella categoria Filtro .

  2. Nel riquadro Proprietà scegliere un tipo di filtro: filtro FIR o filtro IIR.

  3. Specificare i coefficienti da applicare nel filtro. I requisiti per i coefficienti variano a seconda che si scelga un filtro FIR o un filtro IIR.

    • Per un filtro FIR si specifica un vettore di coefficienti feedforward. La lunghezza del vettore determina l'ordine del filtro. Un filtro FIR è in effetti una media mobile, quindi i valori di configurazione applicano una media mobile per filtrare una sequenza di dati.

    • Per un filtro IIR si applicano coefficienti feedforward e feedback personalizzati. Per alcuni suggerimenti, vedere la sezione Esempi .

  4. Connessione il filtro per applicare il filtro e connettere un set di dati.

    Usare il selettore di colonna per specificare le colonne del set di dati a cui applicare il filtro. Per impostazione predefinita, il modulo Applica filtro userà il filtro per tutte le colonne numeriche selezionate.

  5. Eseguire l'esperimento.

    Le trasformazioni specificate vengono applicate alle colonne numeriche selezionate solo quando si esegue l'esperimento usando Applica filtro.

Esempio

Per altri esempi di come vengono usati i filtri in Machine Learning, vedere Azure AI Gallery:

  • Filtri: illustra tutti i tipi di filtro. Nell'esempio viene usato un set di dati della forma d'onda progettata per illustrare più facilmente gli effetti dei diversi filtri.

Esempio di filtro FIR: Media mobile ponderata esponenziale

Per una media mobile ponderata esponenziale, tutti i coefficienti sono minori di uno e la somma di tutti i coefficienti è uguale a uno. La varianza della media ponderata sarà quindi sempre inferiore ai valori di input.

Ad esempio, per fare in modo che un filtro FIR approssimi una media mobile esponenziale pesata, deve essere definito un elenco delimitato da virgole di coefficienti per il valore del parametro feedforward:

0.01818182, 0.03636364, 0.05454545, 0.07272727, 0.09090909, 0.10909091, 0.12727273, 0.14545455, 0.16363636, 0.18181818

Esempio di filtro FIR: media mobile ponderata esponenziale (interpolazione Deslauriers-Dubuc)

Questo filtro FIR approssima una media mobile ponderata triangolare (WMA). Per definire i coefficienti, specificare una serie delimitata da virgole di valori per i parametri di avanzamento del feed, ad esempio:

0.0625, 0.0625, 0.2500, 0.3750, 0.2500, 0.0625

I valori usati in questo filtro FIR personalizzato rappresentano un vettore di coefficienti di avanzamento di avanzamento ottenuti usando il metodo Deslauriers-Dubuc di sequenziazione finita. Per altre informazioni, vedere Subdivisioners Dubuc-Deslauriers for Finite Sequences and Interpolation Wavelets on an Interval.For more information, see Dubuc-Deslauriers Subdivisioners for Finite Sequences and Interpolation Wavelets on an Interval.

Esempio di filtro IIR: Filtro notch

Un buon esempio di applicazione per un filtro IIR definito dall'utente consiste nel definire un filtro notch, detto anche filtro bandtop. Il filtro di notch desiderato attenua una banda di rifiuto -3dB, fb, centrata a una frequenza di notch, fn, con una frequenza di campionamento, fs.

In questo caso, il filtro di notch digitale può essere rappresentato dalla formula seguente:

custom notch filter example 1

Questa formula presuppone:

custom notch filter

Da questa formula è possibile ottenere il coefficiente di avanzamento del feed:

feed forward coefficient for custom notch filter

I coefficienti di avanzamento indietro sono i seguenti:

feed back coefficient for custom notch filter

Esempio di filtro IIR: Filtro notch 2

Nell'esempio seguente viene illustrato un filtro di notch con una frequenza di notch di fn =1250 Hz e una -3 dB banda di rifiuto di , con frequenza di fb =100 Hzcampionamento di fs=10 kHz.

formula for notch filter example 2-1

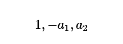
Usando la formula seguente, si ottiene a2 = 0.93906244 e a1 = 1.3711242:

formulas 2 for notch filter example 2

A questo scopo, è possibile ottenere i coefficienti di avanzamento del feed forward (b) e di avanzamento indietro (a):

b= 1.9390624, -2.7422484, 1.9390624

a= 1, -1.3711242, 0.9390624

Parametri del modulo

Name Intervallo Type Predefinito Descrizione
Type of filter any ImpulseResponse Specifica il tipo di filtro da personalizzare
Inoltra any string "1.0" Digitare una serie di coefficienti feedforward
indietro any string "1.0" Digitare una serie di coefficienti feedback

Output

Nome Tipo Descrizione
Filtro Interfaccia IFilter Implementazione del filtro

Eccezioni

Eccezione Descrizione
ParameterParsing Si verifica un'eccezione se uno o più parametri potrebbero non essere analizzati o convertiti dal tipo specificato nel tipo richiesto dal metodo di destinazione.

Per un elenco degli errori specifici dei moduli di Studio (versione classica), vedere Machine Learning Codici di errore.

Per un elenco delle eccezioni API, vedere Machine Learning codici di errore dell'API REST.

Vedi anche

Applica filtro
Elenco moduli A-Z