Condividi tramite


Parte 2 dell'esercitazione: esplorare e visualizzare i dati usando i notebook di Microsoft Fabric

In questa esercitazione si apprenderà come eseguire l'analisi esplorativa dei dati (EDA) per esaminare e analizzare i dati riepilogando le caratteristiche principali tramite l'uso di tecniche di visualizzazione dei dati.

Si userà seaborn, una libreria di visualizzazione dei dati Python che fornisce un'interfaccia di alto livello per la compilazione di oggetti visivi su DataFrame e matrici. Per altre informazioni su seaborn, vedere Seaborn: visualizzazione dati statistici.

Si userà anche Data Wrangler, uno strumento basato su notebook che offre un'esperienza immersiva per eseguire analisi esplorative dei dati e pulizia.

La procedura principale dell'esercitazione è la seguente:

  1. Leggere i dati archiviati da una tabella delta nel lakehouse.
  2. Convertire un DataFrame Spark in DataFrame Pandas, supportato da librerie di visualizzazioni Python.
  3. Usare Data Wrangler per eseguire la pulizia e la trasformazione iniziali dei dati.
  4. Eseguire l'analisi esplorativa dei dati usando seaborn.

Prerequisiti

Questa è la parte 2 di 5 di questa serie di esercitazioni. Per procedere con questa esercitazione, è necessario completare:

Seguire la procedura in Notebook

2-explore-cleanse-data.ipynb è il notebook che accompagna questa esercitazione.

Importante

Collegare la stessa lakehouse usata nella parte 1.

Leggere i dati non elaborati dal lakehouse

Leggere i dati non elaborati dalla sezione File del lakehouse. Questi dati sono stati caricati nel notebook precedente. Assicurarsi di aver collegato la stessa lakehouse usata nella parte 1 a questo notebook prima di eseguire questo codice.

df = (
    spark.read.option("header", True)
    .option("inferSchema", True)
    .csv("Files/churn/raw/churn.csv")
    .cache()
)

Creare un DataFrame Pandas da un set di dati

Convertire il DataFrame spark in DataFrame pandas per semplificare l'elaborazione e la visualizzazione.

df = df.toPandas()

Visualizzare dati non elaborati

Esplorare i dati non elaborati con display, eseguire alcune statistiche di base e mostrare le visualizzazioni del grafico. Si noti che è prima necessario importare le librerie necessarie, ad esempio Numpy, Pnadas, Seaborn e Matplotlib per l'analisi e la visualizzazione dei dati.

import seaborn as sns
sns.set_theme(style="whitegrid", palette="tab10", rc = {'figure.figsize':(9,6)})
import matplotlib.pyplot as plt
import matplotlib.ticker as mticker
from matplotlib import rc, rcParams
import numpy as np
import pandas as pd
import itertools
display(df, summary=True)
# Code generated by Data Wrangler for pandas DataFrame

def clean_data(df):
    # Drop duplicate rows in columns: 'CustomerId', 'RowNumber'
    df = df.drop_duplicates(subset=['CustomerId', 'RowNumber'])
    # Drop rows with missing data across all columns
    df = df.dropna()
    # Drop columns: 'CustomerId', 'RowNumber', 'Surname'
    df = df.drop(columns=['CustomerId', 'RowNumber', 'Surname'])
    return df

df_clean = clean_data(df.copy())
df_clean.head()

Usare Data Wrangler per eseguire la pulizia iniziale dei dati

Per esplorare e trasformare i DataFrame pandas nel notebook, avviare Data Wrangler direttamente dal notebook.

Nota

I dati Wrangler non possono essere aperti mentre il kernel del notebook è occupato. L'esecuzione della cella deve essere completata prima di avviare Data Wrangler.

  1. Nella scheda Dati della barra multifunzione del notebook, selezionare Avvia Data Wrangler. Verrà visualizzato un elenco di DataFrame pandas attivati disponibili per la modifica.
  2. Selezionare il DataFrame da aprire in Data Wrangler. Poiché questo notebook contiene solo un DataFrame, df, selezionare df.

Screenshot che mostra come avviare il data wrangler da un notebook.

Data Wrangler si avvia e genera una panoramica descrittiva dei dati. La tabella al centro mostra ogni colonna di dati. Il pannello Riepilogo accanto alla tabella mostra informazioni sul DataFrame. Quando si seleziona una colonna nella tabella, il riepilogo viene aggiornato con informazioni sulla colonna selezionata. In alcuni casi, i dati visualizzati e riepilogati saranno una visualizzazione troncata del DataFrame. In questo caso, verrà visualizzata l'immagine di avviso nel riquadro di riepilogo. Passare il puntatore del mouse su questo avviso per visualizzare il testo che spiega la situazione.

Screenshot che mostra la panoramica di data wrangler.

Ogni operazione eseguita può essere applicata in pochi clic, aggiornando la visualizzazione dei dati in tempo reale e generando codice che è possibile salvare nuovamente nel notebook come funzione riutilizzabile.

La parte restante di questa sezione illustra i passaggi per eseguire la pulizia dei dati con Data Wrangler.

Eliminare righe duplicate

Nel pannello sinistro è riportato un elenco di operazioni, ad esempio Trova e sostituisci, Formato, Formule, Numerico, che è possibile eseguire nel set di dati.

  1. Espandere Trova e sostituisci e selezionare Elimina righe duplicate.

    Screenshot che mostra Elimina righe duplicate in Trova e sostituisci.

  2. Viene visualizzato un pannello che consente di selezionare l'elenco di colonne da confrontare per definire una riga duplicata. Selezionare RowNumber e CustomerId.

    Nel pannello centrale è disponibile un'anteprima dei risultati di questa operazione. Nell'anteprima c'è il codice per eseguire l'operazione. In questo caso, i dati sembrano essere invariati. Tuttavia, poiché si sta esaminando una visualizzazione troncata, è consigliabile applicare comunque l'operazione.

    Screenshot che mostra l'eliminazione di righe duplicate in Data Wrangler.

  3. Selezionare Applica (sul lato o nella parte inferiore) per andare al passaggio successivo.

Eliminare righe con dati mancanti

Usare Data Wrangler per eliminare righe con dati mancanti in tutte le colonne.

  1. Selezionare Elimina valori mancanti in Trova e sostituisci.

  2. Scegliere Seleziona tutto dalle colonne di destinazione.

    Screenshot che mostra l'eliminazione di righe mancanti in Data Wrangler.

  3. Selezionare Avanti per andare al passaggio successivo.

Eliminazione delle colonne

Usare Data Wrangler per eliminare colonne non necessarie.

  1. Espandere Schema e selezionare Elimina colonne.

  2. Selezionare RowNumber, CustomerId, Surname. Queste colonne vengono visualizzate in rosso nell'anteprima, per mostrare che sono state modificate dal codice (in questo caso, rimosse).

    Screenshot che mostra l'eliminazione di colonne in Data Wrangler.

  3. Selezionare Avanti per andare al passaggio successivo.

Aggiungere codice al notebook

Ogni volta che si seleziona Applica, viene creato un nuovo passaggio nel pannello Passaggi di pulizia in basso a sinistra. Nella parte inferiore del pannello selezionare Codice di anteprima per tutti i passaggi per visualizzare una combinazione di tutti i passaggi separati.

Selezionare Aggiungi codice al notebook in alto a sinistra per chiudere Data Wrangler e aggiungere automaticamente il codice. L'opzione Aggiungi codice al notebook racchiude il codice in una funzione, quindi chiama la funzione .

Screenshot che mostra il codice di anteprima e dove accedere per aggiungerlo al notebook.

Suggerimento

Il codice generato da Data Wrangler non verrà applicato fino a quando non si esegue manualmente la nuova cella.

Se non si usa Data Wrangler, è invece possibile usare questa cella di codice successiva.

Questo codice è simile al codice prodotto da Data Wrangler, ma aggiunge l'argomento inplace=True a ognuno dei passaggi generati. Impostando inplace=True, pandas sovrascriverà il DataFrame originale anziché produrre un nuovo DataFrame come output.

# Modified version of code generated by Data Wrangler 
# Modification is to add in-place=True to each step

# Define a new function that include all above Data Wrangler operations
def clean_data(df):
    # Drop rows with missing data across all columns
    df.dropna(inplace=True)
    # Drop duplicate rows in columns: 'RowNumber', 'CustomerId'
    df.drop_duplicates(subset=['RowNumber', 'CustomerId'], inplace=True)
    # Drop columns: 'RowNumber', 'CustomerId', 'Surname'
    df.drop(columns=['RowNumber', 'CustomerId', 'Surname'], inplace=True)
    return df

df_clean = clean_data(df.copy())
df_clean.head()

Esplorare i dati

Visualizzare alcuni riepiloghi e visualizzazioni dei dati puliti.

Determinare gli attributi categorici, numerici e di destinazione

Usare questo codice per determinare gli attributi categorici, numerici e di destinazione.

# Determine the dependent (target) attribute
dependent_variable_name = "Exited"
print(dependent_variable_name)
# Determine the categorical attributes
categorical_variables = [col for col in df_clean.columns if col in "O"
                        or df_clean[col].nunique() <=5
                        and col not in "Exited"]
print(categorical_variables)
# Determine the numerical attributes
numeric_variables = [col for col in df_clean.columns if df_clean[col].dtype != "object"
                        and df_clean[col].nunique() >5]
print(numeric_variables)

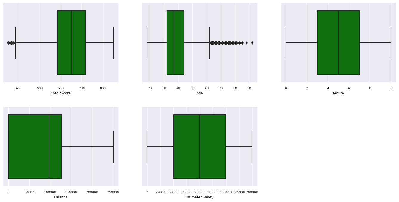
Riepilogo dei cinque numeri

Mostra il riepilogo a cinque numeri (punteggio minimo, primo quartile, mediano, terzo quartile e punteggio massimo) per gli attributi numerici, con tracciati box.

df_num_cols = df_clean[numeric_variables]
sns.set(font_scale = 0.7) 
fig, axes = plt.subplots(nrows = 2, ncols = 3, gridspec_kw =  dict(hspace=0.3), figsize = (17,8))
fig.tight_layout()
for ax,col in zip(axes.flatten(), df_num_cols.columns):
    sns.boxplot(x = df_num_cols[col], color='green', ax = ax)
fig.delaxes(axes[1,2])

Il grafico mostra i riepiloghi a cinque numeri.

Distribuzione dei clienti usciti e non usciti

Mostra la distribuzione dei clienti usciti rispetto ai clienti non usciti tra gli attributi categorici.

df_clean['Exited'] = df_clean['Exited'].astype(str)
attr_list = ['Geography', 'Gender', 'HasCrCard', 'IsActiveMember', 'NumOfProducts', 'Tenure']
df_clean['Exited'] = df_clean['Exited'].astype(str)
fig, axarr = plt.subplots(2, 3, figsize=(15, 4))
for ind, item in enumerate (attr_list):
    print(ind, item)
    sns.countplot(x = item, hue = 'Exited', data = df_clean, ax = axarr[ind%2][ind//2])
fig.subplots_adjust(hspace=0.7)
df_clean['Exited'] = df_clean['Exited'].astype(int)

Il grafico mostra i grafici a barre per i clienti usciti e non usciti.

Distribuzione di attributi numerici

Visualizzare la distribuzione della frequenza degli attributi numerici usando l'istogramma.

columns = df_num_cols.columns[: len(df_num_cols.columns)]
fig = plt.figure()
fig.set_size_inches(18, 8)
length = len(columns)
for i,j in itertools.zip_longest(columns, range(length)):
    plt.subplot((length // 2), 3, j+1)
    plt.subplots_adjust(wspace = 0.2, hspace = 0.5)
    df_num_cols[i].hist(bins = 20, edgecolor = 'black')
    plt.title(i)
plt.show()

Grafico mostra la distribuzione degli attributi numerici.

Eseguire l'ingegneria delle funzionalità

Eseguire la progettazione delle funzionalità per generare nuovi attributi in base agli attributi correnti:

df_clean['Tenure'] = df_clean['Tenure'].astype(int)
df_clean["NewTenure"] = df_clean["Tenure"]/df_clean["Age"]
df_clean["NewCreditsScore"] = pd.qcut(df_clean['CreditScore'], 6, labels = [1, 2, 3, 4, 5, 6])
df_clean["NewAgeScore"] = pd.qcut(df_clean['Age'], 8, labels = [1, 2, 3, 4, 5, 6, 7, 8])
df_clean["NewBalanceScore"] = pd.qcut(df_clean['Balance'].rank(method="first"), 5, labels = [1, 2, 3, 4, 5])
df_clean["NewEstSalaryScore"] = pd.qcut(df_clean['EstimatedSalary'], 10, labels = [1, 2, 3, 4, 5, 6, 7, 8, 9, 10])

Usare Data Wrangler per eseguire la codifica one-hot

Data Wrangler può essere usato anche per eseguire la codifica one-hot. A tale scopo, riaprire Data Wrangler. Questa volta, selezionare i dati df_clean.

  1. Espandere Formule e selezionare Codifica one-hot.
  2. Viene visualizzato un pannello in cui selezionare l'elenco di colonne su cui si vuole eseguire la codifica one-hot. Selezionare Geografia e Genere.

È possibile copiare il codice generato, chiudere Data Wrangler per tornare al notebook e quindi incollarlo in una nuova cella. In alternativa, selezionare Aggiungi codice al notebook in alto a sinistra per chiudere Data Wrangler e aggiungere automaticamente il codice.

Se non si usa Data Wrangler, è invece possibile usare questa cella di codice successiva:

# This is the same code that Data Wrangler will generate
 
import pandas as pd

def clean_data(df_clean):
    # One-hot encode columns: 'Geography', 'Gender'
    for column in ['Geography', 'Gender']:
        insert_loc = df_clean.columns.get_loc(column)
        df_clean = pd.concat([df_clean.iloc[:,:insert_loc], pd.get_dummies(df_clean.loc[:, [column]]), df_clean.iloc[:,insert_loc+1:]], axis=1)
    return df_clean

df_clean_1 = clean_data(df_clean.copy())
df_clean_1.head()
# This is the same code that Data Wrangler will generate
 
import pandas as pd
 
def clean_data(df_clean):
    # One-hot encode columns: 'Geography', 'Gender'
    df_clean = pd.get_dummies(df_clean, columns=['Geography', 'Gender'])
    return df_clean
 
df_clean_1 = clean_data(df_clean.copy())
df_clean_1.head()

Riepilogo delle osservazioni dell'analisi esplorativa dei dati

  • La maggior parte dei clienti proviene dalla Francia rispetto alla Spagna e alla Germania, mentre la Spagna ha il tasso di varianza più basso rispetto alla Francia e alla Germania.
  • La maggior parte dei clienti ha carte di credito.
  • Ci sono clienti la cui età e punteggio di credito sono superiori a 60 e al di sotto di 400, rispettivamente, ma non possono essere considerati come outlier.
  • Pochissimi clienti hanno più di due dei prodotti della banca.
  • I clienti che non sono attivi hanno una varianza più elevata.
  • Il genere e gli anni di permanenza non sembrano avere un impatto sulla decisione del cliente di chiudere il conto bancario.

Creare una tabella differenziale per i dati puliti

Questi dati verranno usati nel notebook successivo di questa serie.

table_name = "df_clean"
# Create Spark DataFrame from pandas
sparkDF=spark.createDataFrame(df_clean_1) 
sparkDF.write.mode("overwrite").format("delta").save(f"Tables/{table_name}")
print(f"Spark dataframe saved to delta table: {table_name}")

Passaggio successivo

Eseguire il training e la registrazione di modelli di Machine Learning con questi dati: