Note
Access to this page requires authorization. You can try signing in or changing directories.
Access to this page requires authorization. You can try changing directories.
Switch services using the Version drop-down list. Learn more about navigation.
Applies to: ✅ Microsoft Fabric ✅ Azure Data Explorer ✅ Azure Monitor ✅ Microsoft Sentinel
Calculates the population covariance of two random variables expr1 and expr2.
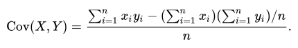
The following formula is used:
Note
This function is used in conjunction with the summarize operator.
Syntax
covariancep(expr1 , expr2 )
Learn more about syntax conventions.
Parameters
| Name | Type | Required | Description |
|---|---|---|---|
| expr1 | real |
✔️ | First random variable expression. |
| expr2 | real |
✔️ | Second random variable expression. |
Returns
Returns the covariance value of expr1 and expr2.
Examples
The example in this section shows how to use the syntax to help you get started.
datatable(x:real, y:real) [
1.0, 14.0,
2.0, 10.0,
3.0, 17.0,
4.0, 20.0,
5.0, 50.0,
]
| summarize covariancep(x, y)
Output
| covariancep_x_y |
|---|
| 16.4 |